Trang chủ Sinh Học Lớp 12 Giúp em câu sinh này vs ạ câu hỏi 10836...

Giúp em câu sinh này vs ạ câu hỏi 10836 - hoctapsgk.com

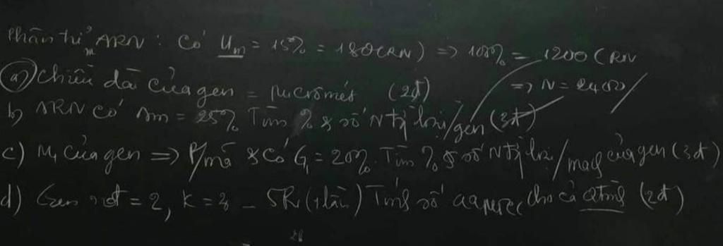
Câu hỏi :

Giúp em câu sinh này vs ạ

image

Lời giải 1 :

Đáp án:

0,408 micromet

Gen có A = T = 480, G = X = 720

Mạch 1 có G1 = 240 , X1 = 480, A1 = 180 , T1 = 300

Giải thích các bước giải:

a) rN = 1200 -> N = 2400

L = 1200x3,4 = 4080 ăngcron = 0,408 micromet

b) ARN có U = 15% = 180, A = 25% = 300 ->

Gen có A = T = 180+300 = 480

G = X = 1200 - 480 = 720

c) Mạch 1 có G1 = 20% = 240 -> X1 = G2 = 720-240 = 480

A1 = U = 180 -> T1 = 300

d) Câu d mình ko đọc đc đề

Thảo luận

Bạn có biết?

Sinh học hay sinh vật học (tiếng Anh: biology bắt nguồn từ Hy Lạp với bios là sự sống và logos là môn học) là một môn khoa học nghiên cứu về thế giới sinh vật. Nó là một nhánh của khoa học tự nhiên, tập trung nghiên cứu các cá thể sống, mối quan hệ giữa chúng với nhau và với môi trường. Nó miêu tả những đặc điểm và tập tính của sinh vật (ví dụ: cấu trúc, chức năng, sự phát triển, môi trường sống), cách thức các cá thể và loài tồn tại (ví dụ: nguồn gốc, sự tiến hóa và phân bổ của chúng).

Nguồn : Wikipedia - Bách khoa toàn thư

Tâm sự 12

Lớp 12 - Năm cuối ở cấp tiểu học, năm học quan trọng nhất trong đời học sinh trải qua bao năm học tập, bao nhiêu kì vọng của người thân xung quanh ta. Những nỗi lo về thi đại học và định hướng tương lai thật là nặng. Hãy tin vào bản thân là mình sẽ làm được rồi tương lai mới chờ đợi các em!

Nguồn : ADMIN :))

Copyright © 2021 HOCTAP247